Back to articles

Overbooking workshop strategy

Overbooking workshop strategy

When customers schedule a service appointment through an online dealer booking platform, the scheduling system automatically assigns skilled resources to complete the necessary service tasks.

   

Once the decision to overbook workshop resources is made, it becomes essential to understand how to distribute booking hours effectively and automatically among workshop personnel. This is a critical step in ensuring the right overbooking workshop strategy is implemented without causing disruptions. 

   

One of the best practices is to utilize resources based on skill level, with the most skilled person being only slightly overbooked.

  

How would one practically calculate that? 

  

This is the topic I want to describe in my next article.

  

There are different algorithms available for overbooking. These algorithms include "proportional," "sequential," "progressive," or "conditional" overbooking methods. There are many options to choose from, which means that one can write a book on this subject. 

  

Based on personal experience, the 'spread' algorithm is a popular choice that best fits dealers' demands. This method focuses on distributing booking hours among all resources, considering the skills each resource possesses. It ensures that less skilled resources are booked more, while more skilled individuals are booked less. As a result, more skilled mechanics are available, a crucial point in efficient service scheduling.

  

Does it seem complicated?

   

Well, let's delve into the specifics, and I've created a practical example for you to follow. 

  

Assuming the following scenario: 

  

One workshop has four technicians with four different types of skills. 

  • Mechanic (MECH), 
  • Diagnostic (DIAG), 
  • Painting (PAINT), 
  • Body shop (BODY). 

  

See example below:

  

skills

 

  

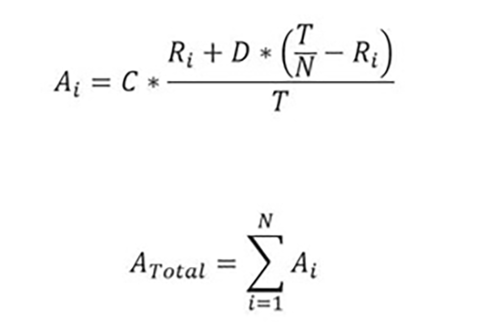
Now, let's get to how to distribute booking hours if, for example, 7 MECH Hours are booked for doing a service task, but the workshop lacks MECH available skills. 

   

The spread overbooking algorithm takes into account a mathematical formula to determine the optimal overbooking amount.

  

algorithm

 

allocated working hours

 

   

Conclusion: Thanks to this automatic algorithm, John, the most experienced person, is now less overbooked than others.

  

As a result, some decimals can be seen, but it does not really matter. These numbers do not bother end-users but are crucial for dealer management systems or scheduling systems to manage overbooking effectively on a skills level. 

  

I hope my article provided you with valuable insights. I am waiting to receive your feedback!

   

 

Dr. Juraj Hanus

SME DMS | juraj.hanus@incadea.com

 

Related Insights articles

No more noshows
21 December 2023 6 minutes
No more no-shows.

How can dealers minimize the number of customers who fail to show up for their scheduled service appointments?

EV Digital Shift
23 February 2024 2 minutes
EV Digital Shift

Our products are always designed with the Dealers/Importers in mind ensuring our ability to meet their needs.